Správy z priemyslu

Roztoky na báze cyklodextrínu na zlepšenie rozpustnosti a stability

2025-12-23 - Nechajte mi správu

Roztoky na báze cyklodextrínu na zlepšenie rozpustnosti a stability

Technický prehľad hydroxypropylbetadex a betadex sulfobutyléter sodný

Cyklodextríny sú široko uznávané pre svoju schopnosť zlepšiť rozpustnosť a stabilitu zle rozpustných alebo chemicky citlivých zlúčenín. Vďaka svojej jedinečnej cyklickej molekulárnej štruktúre sa cyklodextríny a ich deriváty stali dôležitými funkčnými pomocnými látkami naprieč farmaceutickými, chemickými a príbuznými oblasťami formulácií. V reakcii na zvyšujúce sa technické a regulačné požiadavky spoločnosť Xi’an Deli Biochemical ďalej vylepšila technickú dokumentáciu a podporu produktov pre svoje kľúčové deriváty cyklodextrínu:hydroxypropyl betadex (HPBCD) a betadex sulfobutyl éter sodný (SBECD).


Štrukturálne charakteristiky a funkčný výkon cyklodextrínov

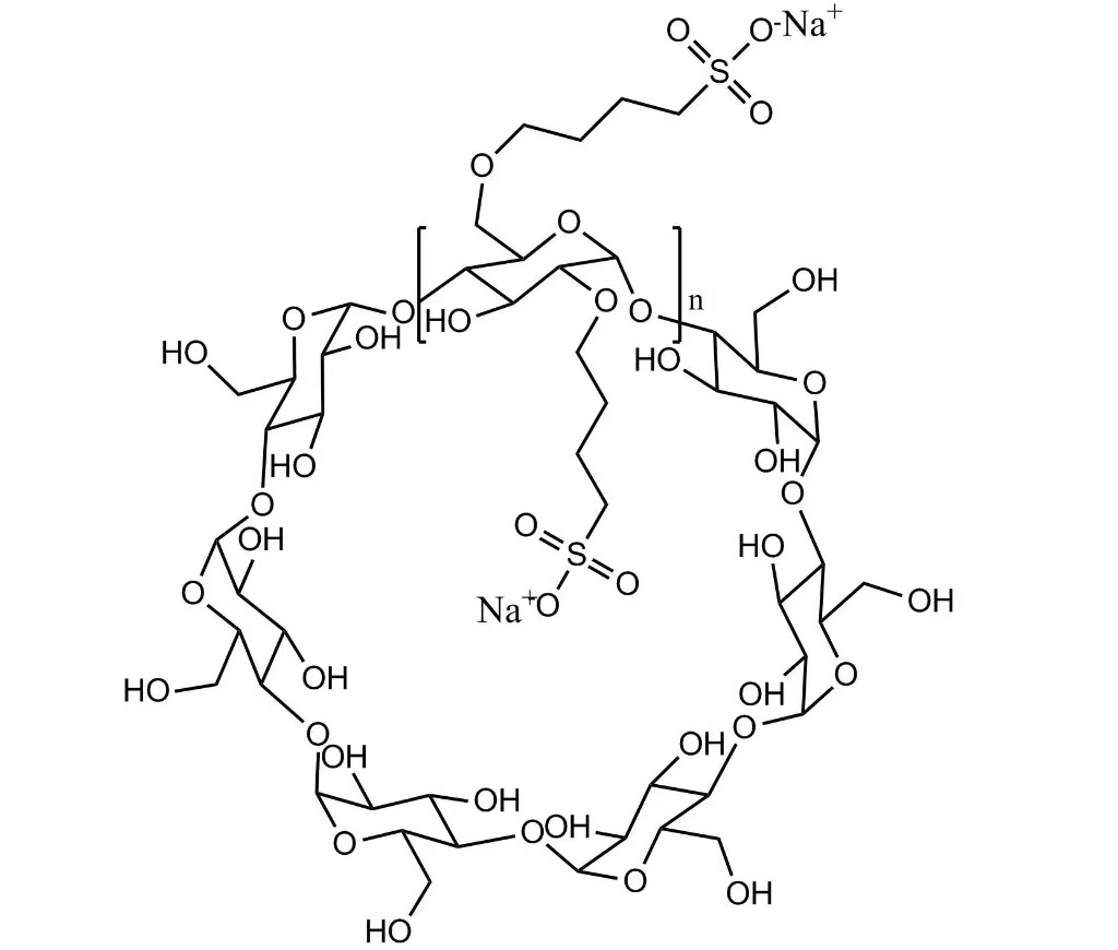
Cyklodextríny sú cyklické oligosacharidy zložené z glukózových jednotiek spojených α-1,4 glykozidickými väzbami. Ich molekulárna architektúra sa vyznačuje hydrofilným vonkajším povrchom a relatívne hydrofóbnou vnútornou dutinou, čo umožňuje tvorbu inklúznych komplexov so širokou škálou hosťujúcich molekúl. Chemická modifikácia štruktúry cyklodextrínu môže výrazne zvýšiť rozpustnosť vo vode a rozšíriť všestrannosť použitia.


Hydroxypropyl Betadex (HPBCD)


Hydroxypropyl betadex je chemicky modifikovaný β-cyklodextrín navrhnutý tak, aby prekonal obmedzenú rozpustnosť natívnych cyklodextrínov. Jeho zvýšená rozpustnosť vo vode a priaznivá kompatibilita robia HPBCD vhodným pre aplikácie vyžadujúce účinnú solubilizáciu, stabilizáciu a flexibilitu formulácie v rôznych systémoch.


Betadex sulfobutyléter sodný (SBECD)


Betadex sulfobutyléter sodný je aniónový derivát cyklodextrínu charakterizovaný sulfobutyléterovými substituentmi. Táto štruktúra zvyšuje elektrostatické interakcie so špecifickými zlúčeninami, podporuje zlepšenú rozpustnosť, komplexnú stabilitu a robustnosť formulácie v náročnejších aplikáciách.

Štandardizované informácie o produkte a technická podpora

Na lepšiu podporu vývoja formulácií, hodnotenia kvality a procesov obstarávania spoločnosť Xi’an Deli Biochemical systematicky aktualizovala informácie o produktoch pre HPBCD a SBECD, vrátane:


  • Jasne definované a štandardizované špecifikácie produktu a analytické parametre
  • Špecifické certifikáty analýzy (COA) na zabezpečenie sledovateľnosti a overenia kvality
  • Rozšírené technické najčastejšie otázky týkajúce sa manipulácie, skladovania a typických aplikácií
  • Optimalizované súhrny produktov navrhnuté na uľahčenie efektívnej technickej kontroly a výberu


Tieto vylepšenia sú určené na zvýšenie transparentnosti, skrátenie časových harmonogramov hodnotenia a podporu konzistentného výkonu produktu počas celého dodávateľského cyklu.


Výrobné skúsenosti a zabezpečenie kvality

Xi’an Deli Biochemical, založená v roku 1999, prináša 26-ročné skúsenosti s výrobou derivátov cyklodextrínu. Spoločnosť sa zameriava na riadenú výrobu hydroxypropyl betadexu a betadex sulfobutyl éteru sodného s dôrazom na konzistentnosť procesu, spoľahlivosť medzi jednotlivými šaržami a dlhodobú stabilitu dodávok. Štruktúrované postupy riadenia kvality podporujú technické a regulačné požiadavky zákazníkov a požiadavky na zdroje.


Rozsah aplikácie a technická spolupráca

Na základe mechanizmov inklúzie a stabilizácie cyklodextrínu sú HPBCD a SBECD použiteľné vo viacerých technických oblastiach, vrátane farmaceutických formulácií, špeciálnych chemikálií, veterinárnych produktov a iných systémov vyžadujúcich zvýšenú rozpustnosť a stabilitu. Xi’an Deli Biochemical naďalej spolupracuje s partnermi prostredníctvom komunikácie zameranej na aplikácie a technickej spolupráce na podporu vyvíjajúcich sa potrieb formulácií.


O spoločnostiach biochemického priemyslu Xi’an Deli

Spoločnosť Xi’an Deli Biochemical Industry Companies bola založená v roku 1999 a je špecializovaným výrobcom derivátov cyklodextrínu, ktorý dodáva hydroxypropyl betadex (HPBCD) a betadex sulfobutyléter sodný (SBECD) globálnym zákazníkom. Vďaka dlhodobému zameraniu na konzistenciu produktov, jasné špecifikácie a praktickú technickú podporu je spoločnosť odhodlaná poskytovať spoľahlivé riešenia na báze cyklodextrínu.


Ak chceš, môžem aj:


  • Ďalej to optimalizujte pre Google SEO (bez zníženia technického tónu)
  • Zhrňte ho do verzie „Technická aktualizácia“ na stránke produktu
  • Prispôsobte ho zákazníkom zameraným na reguláciu / kvalitu


Len mi povedz, kde to plánuješ zverejniť.


Odoslať dopyt


icon
X
Súbory cookie používame, aby sme vám poskytli lepší zážitok z prehliadania, analyzovali návštevnosť stránok a prispôsobili obsah. Používaním tejto stránky súhlasíte s naším používaním cookies. Zásady ochrany osobných údajov
Odmietnuť Prijať