Sulfobutyléter beta cyklodextrínový prášok injekčnej farmaceutickej pomocnej látky
  • Sulfobutyléter beta cyklodextrínový prášok injekčnej farmaceutickej pomocnej látky Sulfobutyléter beta cyklodextrínový prášok injekčnej farmaceutickej pomocnej látky
  • Sulfobutyléter beta cyklodextrínový prášok injekčnej farmaceutickej pomocnej látky Sulfobutyléter beta cyklodextrínový prášok injekčnej farmaceutickej pomocnej látky

Sulfobutyléter beta cyklodextrínový prášok injekčnej farmaceutickej pomocnej látky

Sulfobutyléter beta cyklodextrínový prášok injekčnej farmaceutickej pomocnej látky
Názov produktu: Betadex Sulfobutyl Ether Sodium
Číslo CAS: 182410-00-0
Liekopisný štandard: EP a USP
Vzhľad: Biely až sivobiely amorfný prášok
Analýza: ≥99,0 %
Aplikácie: Injekčné a parenterálne farmaceutické formulácie
Balenie: 500 g/vrecko; 1 kg/vrece; 10 kg/vrece; 10 kg/bubon; k dispozícii prispôsobené balenie

Odoslať dopyt

Popis produktu

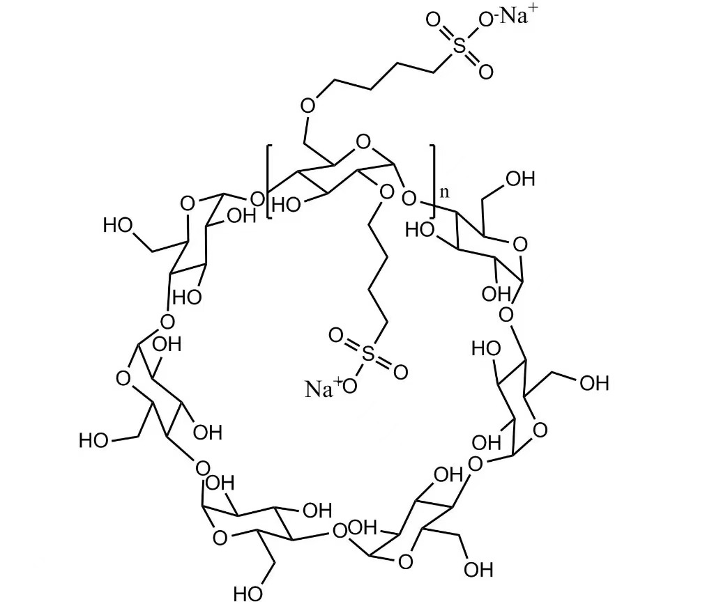
Sulfobutyléter beta cyklodextrínový prášok injekčnej farmaceutickej pomocnej látky(CAS 182410-00-0) je vo vode vysoko rozpustný aniónový derivát β-cyklodextrínu špeciálne vyvinutý pre injekčné farmaceutické formulácie. SBECD funguje ako solubilizátor, zmáčadlo, chelatačné činidlo a maskovacie činidlo, čím sa zvyšuje rozpustnosť, stabilita a bezpečnosť zle rozpustných API.

Tento injektovateľný excipient je vhodný na intravenózne, intramuskulárne a subkutánne podávanie liečiva. SBECD znižuje renálnu toxicitu, minimalizuje hemolýzu, stabilizuje API obsahujúce dusík a umožňuje kontrolované uvoľňovanie pri maskovaní nepríjemných pachov liečiva.

Predstavenie spoločnosti

Xi'an DELI Biochemical Industry Co., Ltd.bola založená v roku 1999 a má viac ako 26 rokov skúseností vo výskume, výrobe a komercializácii derivátov cyklodextrínu. Medzi základné produkty patriaSulfobutyléter beta cyklodextrín (SBECD)aHydroxypropyl Betadex (HPBCD). DELI poskytuje vysoko čisté, konzistentné a regulačné produkty pre globálne farmaceutické trhy.

DELI prevádzkuje pokročilé výrobné linky a špecializované systémy kontroly kvality na zabezpečenie konzistencie medzi jednotlivými šaržami. Certifikát pravosti, technická dokumentácia a podpora formulácií sú k dispozícii na podporu výskumu a vývoja, klinického vývoja a komerčnej výroby na celom svete.



Špecifikácie produktu


Číslo CAS: 182410-00-0
Molekulový vzorec: C42H70-nO35·(C4H8SO3Na)n
Stupeň: Injekčné, v súlade s EP a USP
Vzhľad: Biely až sivobiely amorfný prášok
Analýza: ≥99,0 %
Aplikácie: Injekčné a parenterálne farmaceutické formulácie
Balenie: 500g/vrecko; 1 kg/vrece; 10 kg/vrece; 10 kg/bubon; k dispozícii prispôsobené balenie
Skladovanie: Uzavreté a suché
Čas použiteľnosti: 36 mesiacov
COA / Zabezpečenie kvality:Každá šarža sa testuje na čistotu testu, bakteriálne endotoxíny, zvyškové rozpúšťadlá, ťažké kovy a priemerný stupeň substitúcie (DS), pričom spĺňa normy USP a EP.


Aplikácie produktov

SBECD sa používa na zlepšenie rozpustnosti, stability a bezpečnosti injekčných API. Aplikuje sa v protiplesňových, antivírusových, kardiovaskulárnych a onkologických injekčných liekoch. SBECD tvorí inklúzne komplexy s liečivami obsahujúcimi dusík, čím poskytuje riadené uvoľňovanie a znižuje toxicitu.


  • Medzi významné produkty na trhu patria:
  • Remdesivir
  • Injekcia hydrochloridu mefalánu
  • Injekcia posakonazolu
  • Cilairone Mesylát
  • Injekcia vorikonazolu



FAQ

Otázka: Je Xi'an DELI Biochemical výrobcom SBECD?
Odpoveď: Áno, DELI vyrába sulfobutyléter beta cyklodextrín (SBECD) a hydroxypropyl betadex (HPBCD). Beta cyklodextrín je surovinou pre deriváty.

Otázka: Sú k dispozícii vzorky?
Odpoveď: Áno, vzorky SBECD sú k dispozícii na vyhodnotenie.

Otázka: Aká je šarža a ročná výrobná kapacita?
A: Kapacita šaržovej výroby je 2,5 tony; ročná produkcia presahuje 200 ton.

Otázka: Aké regulačné dokumenty sa poskytujú?
Odpoveď: K dispozícii sú COA, MSDS, údaje o stabilite a technická dokumentácia.

Otázka: Možnosti dopravy?
Odpoveď: Globálna preprava letecky, po mori alebo expresným kuriérom.


Dopyt a technická podpora

Kontaktujte Xi'an DELI Biochemical a vyžiadajte si vzorky, technickú dokumentáciu alebo cenové ponukySulfobutyléter beta cyklodextrínový prášok injekčnej farmaceutickej pomocnej látky. Náš tím podporuje vývoj formulácií spoľahlivými dodávkami a profesionálnymi odbornými znalosťami.


SBECD Packaging


Hot Tags: Sulfobutyléter beta cyklodextrínový prášok injekčnej farmaceutickej pomocnej látky, výrobcovia, dodávatelia, Čína, továreň, voľne ložené, bezplatná vzorka, vyrobené v Číne, na sklade, veľkoobchod, Kúpiť

Súvisiaca kategória

Odoslať dopyt

Neváhajte a zadajte svoj dopyt vo formulári nižšie. Odpovieme vám do 24 hodín.
icon
X
Súbory cookie používame, aby sme vám poskytli lepší zážitok z prehliadania, analyzovali návštevnosť stránok a prispôsobili obsah. Používaním tejto stránky súhlasíte s naším používaním cookies. Zásady ochrany osobných údajov
Odmietnuť Prijať