X
IMG
VIDEO

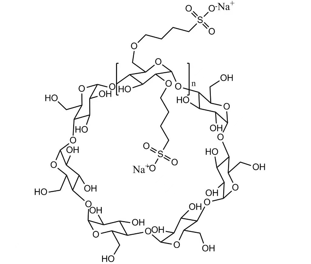
SBE-β-CD sulfobutyléter beta cyklodextrín sodný injekčná farmaceutická pomocná látka

Veľkoobchodná injekčná farmaceutická pomocná látka SBE-β-CD sulfobutyléter beta cyklodextrín sodný vyrobená v Číne od spoločnosti DELI. SBE-β-CD (sulfobutyléter beta cyklodextrín sodný) je vo vode vysoko rozpustný injekčný farmaceutický excipient používaný na zvýšenie rozpustnosti, stability a bezpečnosti zle rozpustných API prostredníctvom tvorby reverzibilných inklúznych komplexov.

Odoslať dopyt

Popis produktu


SBE-β-CD sulfobutyléter beta cyklodextrín sodný injekčná farmaceutická pomocná látka

SBE-β-CD (Sulfobutylether Beta Cyclodextrin Sodium) je vo vode vysoko rozpustný aniónový derivát β-cyklodextrínu určený na injekčné farmaceutické aplikácie. Tvorí stabilné, nekovalentné inklúzne komplexy s aktívnymi farmaceutickými zložkami (API), čo výrazne zlepšuje rozpustnosť, stabilitu a bezpečnosť liečiv zle rozpustných vo vode.

Vďaka svojej vynikajúcej biokompatibilite, nízkej hemolytickej aktivite a kontrolovanému profilu toxicity sa SBE-β-CD široko používa v systémoch parenterálneho podávania liečiv vo viacerých terapeutických oblastiach.


Kľúčové výhody


SBE-β-CD zvyšuje rozpustnosť hydrofóbnych API vo vode pri zachovaní bezpečnosti formulácie. V porovnaní s tradičnými solubilizačnými činidlami vykazuje zníženú renálnu toxicitu a nižšie podráždenie v miestach vpichu, vďaka čomu je vhodný na opakované parenterálne podávanie.


Farmaceutické aplikácie


SBE-β-CD sa primárne aplikuje v injekčných a sterilných formuláciách, vrátane intravenóznych, intramuskulárnych a subkutánnych dávkových foriem. Bežne sa používa v antivírusových, antifungálnych, onkologických a kardiovaskulárnych liekových produktoch, kde je rozhodujúca vysoká rozpustnosť a stabilita formulácie.


Špecifikácie produktu


Chemický názov Sulfobutyléter beta cyklodextrín sodný
CAS č. 182410-00-0
Vzhľad Biely až sivobiely amorfný prášok
stupňa Injekčná farmaceutická pomocná látka
Rozpustnosť Voľne rozpustný vo vode
Skúška 95,0 % – 105,0 % (bezvodý základ)
Priemerný stupeň substitúcie (DS) 6.2 – 6.9
Bakteriálne endotoxíny ≤ 10 EU/g
Normy USP/EP
Čas použiteľnosti 36 mesiacov


Špecifikácie balenia


Dostupné možnosti balenia zahŕňajú 500 g/vrece, 1 kg/vrece, 10 kg/vrece a 10 kg/bubon. Prispôsobené balenie je k dispozícii na požiadanie pre komerčné dodávky.


Zabezpečenie kvality


Všetky šarže SBE-β-CD sa vyrábajú pod prísnym systémom riadenia kvality a prechádzajú komplexným analytickým testovaním. Kľúčové parametre kvality, ako sú nečistoty, endotoxíny, stupeň substitúcie a konzistencia jednotlivých šarží, sú prísne kontrolované.

Každá zásielka je sprevádzaná Certifikátom analýzy (COA), aby sa zabezpečila úplná sledovateľnosť a súlad s predpismi.


Kvalifikácia a certifikácia spoločnosti


Xi’an Deli Biochemical Industry Co., Ltd. je high-tech podnik špecializujúci sa na výskum, vývoj a výrobu cyklodextrínov a ich derivátov. Spoločnosť bola založená v roku 1999 a má viac ako 26 rokov skúseností v tomto odvetví.

Spoločnosť prevádzkuje špecializované linky na výrobu farmaceutických pomocných látok s kontrolovanými čistými výrobnými priestormi. Jeho systém riadenia kvality prešiel certifikáciou ISO 9001 a základné produkty sú registrované alebo podávané príslušným regulačným orgánom vrátane FDA.


Výrobná kapacita


Xi’an Deli Biochemical zriadila rozsiahlu komerčnú výrobnú kapacitu pre SBE-β-CD, čím zabezpečuje spoľahlivé dlhodobé dodávky pre globálnych farmaceutických zákazníkov.

Ročná výrobná kapacita presahuje 200 metrických ton s typickou veľkosťou dávky približne 2,5 metrických ton.


FAQ

Otázka 1: Aká je hlavná funkcia SBE-β-CD v injekčných formuláciách?
Odpoveď: SBE-β-CD primárne pôsobí ako solubilizátor a stabilizátor, zlepšuje rozpustnosť vo vode a bezpečnosť vo vode slabo rozpustných API prostredníctvom tvorby reverzibilných inklúznych komplexov.


Otázka 2: Je SBE-β-CD vhodný na opakované intravenózne podanie?
A: Áno. SBE-β-CD vykazuje nízku hemolytickú aktivitu a zníženú renálnu toxicitu v porovnaní s tradičnými solubilizačnými činidlami, vďaka čomu je vhodný na opakované parenterálne použitie.


Otázka 3: Je váš produkt v súlade s liekopisnými normami?
Odpoveď: Náš SBE-β-CD je v súlade s požiadavkami USP a EP a je vyrobený v rámci certifikovaného systému riadenia kvality.


Q4: Môže byť poskytnutá technická dokumentácia?
A: Áno. Certifikát pravosti, špecifikácie a technické údaje sú k dispozícii na požiadanie.



Hot Tags: SBE-β-CD Sulfobutyléter Beta Cyklodextrín sodný Injekčná farmaceutická pomocná látka, Výrobcovia, Dodávatelia, Čína, Továreň, voľne ložené, Bezplatná vzorka, Vyrobené v Číne, Skladom, Veľkoobchod, Kúpiť

Súvisiaca kategória

Odoslať dopyt

Neváhajte a zadajte svoj dopyt vo formulári nižšie. Odpovieme vám do 24 hodín.
icon
X
Súbory cookie používame, aby sme vám poskytli lepší zážitok z prehliadania, analyzovali návštevnosť stránok a prispôsobili obsah. Používaním tejto stránky súhlasíte s naším používaním cookies. Zásady ochrany osobných údajov
Odmietnuť Prijať