Sulfobutylether Beta Cyclodextrin Sodium Powder
IMG
VIDEO

Sulfobutylether Beta Cyclodextrin Sodium Powder

Sulfobutylether Beta Cyclodextrin Sodium Powder
Číslo CAS: 182410-00-0
Vzhľad: Biely až sivobiely amorfný prášok
Stupeň: Stupeň pre injekciu/farmaceutická pomocná látka
Stanovenie: ≥ 99,0 % (na bezvodom základe)
Rozpustnosť: Voľne rozpustný vo vode
Bakteriálne endotoxíny: ≤ 10 EU/g
Výkonný štandard: USP / EP / ChP

Odoslať dopyt

Popis produktu


Čo je sulfobutyléter Beta cyklodextrín sodný v prášku?


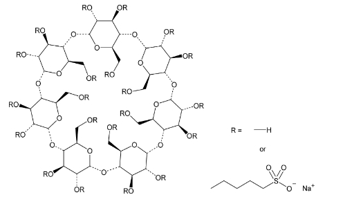
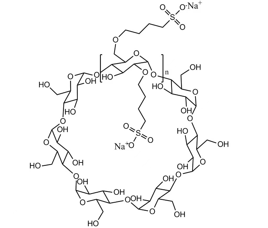
Sulfobutyléter Beta Cyclodextrin Sodium Powder je vo vode vysoko rozpustný aniónový derivát β-cyklodextrínu používaný ako farmaceutický excipient. Vyrába sa chemickou modifikáciou beta cyklodextrínu sulfobutyléterovými skupinami za kontrolovaných alkalických podmienok, výsledkom čoho je sodná soľ s vynikajúcimi solubilizačnými vlastnosťami.

Tento injektovateľný excipient je navrhnutý tak, aby vytváral stabilné, nekovalentné inklúzne komplexy so slabo rozpustnými aktívnymi farmaceutickými zložkami (API). Zapuzdrením molekúl liečiva Sulfobutylether Beta Cyclodextrin Sodium Powder výrazne zlepšuje rozpustnosť liečiva, stabilitu a biologickú dostupnosť, pričom znižuje lokálne podráždenie, hemolýzu a renálnu toxicitu.

Vďaka svojmu vysokému bezpečnostnému profilu a silnej komplexačnej schopnosti je prášok sulfobutyléter beta cyklodextrín sodný široko používaný v parenterálnych farmaceutických formuláciách, najmä pre antifungálne, antivírusové, onkologické a kardiovaskulárne injekčné lieky. Vyhovuje hlavným liekopisným štandardom, ako sú USP a EP, a je vhodný pre klinické a komerčné farmaceutické aplikácie.


Sulfobutyléter beta cyklodextrín sodný Powder Špecifikácia


Produkt naja
Sulfobutyléter beta cyklodextrín sodný
CAS č.
182410-00-0
Vzhľad Biely alebo takmer biely hygroskopický prášok.
Executive Standard USP / EP / ChP
Balenie 500 g/vrecko; 1 kg/vrece; 10 kg/vrece; 10 kg/bubon
Synonymá SBE-p-CD; sulfobutyléter beta-cyklodextrín; Betadex sulfobutyléter sodný
STANOVENIE ≥ 99 %
Bakteriálne endotoxíny
≤ 10 EU/g
MOQ 1 kg


Sulfobutyléter beta cyklodextrín sodný Powder COA


Aké je použitie a výhody sulfobutyléteru beta cyklodextrínu (SBECD)?

1. Použitie sulfobutyléter beta cyklodextrínu (SBECD)

Sulfobutyléter beta cyklodextrín (SBECD) sa používa hlavne ako farmaceutická pomocná látka, najmä v:


  • Injekčné (parenterálne) liekové formulácie
  • Oftalmologické (očné) prípravky
  • Systémy na podávanie liekov do nosa a pľúc
  • Formulácie vo vode slabo rozpustných API, ako sú antifungálne, antivírusové, protirakovinové a kardiovaskulárne lieky


2. Výhody sulfobutyléter beta cyklodextrínu (SBECD)


  • Výrazne zlepšuje rozpustnosť slabo rozpustných liečiv vo vode
  • Zvyšuje stabilitu liečiva tvorbou nekovalentných inklúznych komplexov
  • Zlepšuje bezpečnosť liekov, najmä pri injekčných formuláciách
  • Znižuje renálnu toxicitu v porovnaní s niektorými tradičnými solubilizátormi
  • Minimalizuje hemolýzu a podráždenie v mieste vpichu
  • Kontroluje rýchlosť uvoľňovania liečiva a zlepšuje terapeutický výkon
  • Maskuje nepríjemný zápach alebo chuť API
  • Vysoká rozpustnosť vo vode a nízka toxicita, vhodné na parenterálne použitie

Prečo si vybrať nás?


Viac ako 20 rokov skúseností vo výrobe

Spoločnosť Xi’an Deli Biochemical Industry Co., Ltd. si s viac ako dvoma desaťročiami špecializovaných skúseností s výrobou cyklodextrínu a derivátov cyklodextrínu vybudovala dobrú povesť pre kvalitu produktov, stabilitu procesu a spoľahlivé dodávky.


Veľkokapacitná a stabilná výrobná kapacita

Prevádzkujeme výrobné linky v priemyselnom meradle s ročnou kapacitou 500 ton Hydroxypropyl Betadex a 200 ton Betadex Sulfobutyl Ether Sodium, čo zabezpečuje stabilné dodávky pre dlhodobé komerčné a klinické aplikácie.


Zabezpečenie farmaceutickej kvality

Naše produkty sú vyrábané v rámci prísneho systému riadenia kvality, s vyhradeným čistým priestorom triedy D navrhnutým podľa požiadaviek farmaceutickej výroby. Komplexné testovanie počas procesu a konečného produktu zaisťuje vynikajúcu konzistenciu medzi jednotlivými šaržami.


Pokročilé analytické a testovacie schopnosti

Naše laboratórium, vybavené modernými analytickými prístrojmi, ako sú HPLC, GC, IC, kapilárna elektroforéza, FTIR a NMR podporované testovanie, je schopné splniť farmakopeiálne požiadavky USP, EP a ChP, podporovať vývoj formulácií a súlad s predpismi.


Regulačná podpora a skúsenosti s globálnym trhom

Naše kľúčové produkty, vrátane Hydroxypropyl Betadex a Betadex Sulfobutyl Ether Sodium, boli zaregistrované a zaregistrované u FDA, čo dokazuje naše skúsenosti s podporou zákazníkov na globálnych farmaceutických trhoch.


Technická podpora orientovaná na zákazníka

Poskytujeme profesionálnu technickú podporu, pomoc s dokumentáciou a poradenstvo súvisiace s formuláciou, pričom úzko spolupracujeme so zákazníkmi od skorého vývoja až po dlhodobé komerčné dodávky.


Kvalifikácia spoločnosti

Certifikáty Xi’an Deli Biochemical Industry Co., Ltd.

V priebehu rokov sa spoločnosť Xi’an Deli Biochemical Industry Co., Ltd. neustále zaviazala k optimalizácii výrobného procesu a zavedeniu komplexného systému riadenia kvality pre cyklodextríny a ich deriváty.


FAQ

1. Ste výrobca alebo obchodná spoločnosť?

Sme profesionálny výrobca špecializujúci sa na cyklodextrín a deriváty cyklodextrínu. Všetky produkty sa vyrábajú v našom vlastnom výrobnom závode v Xi’ane v Číne.


2. Aké sú vaše hlavné produkty?

Naše hlavné produkty sú Hydroxypropyl Betadex (HPBCD) a Betadex Sulfobutyl Ether Sodium (SBECD), ktoré sú široko používané ako farmaceutické pomocné látky, najmä v injekčných a perorálnych formuláciách.


3. Spĺňajú vaše produkty liekopisné normy?

áno. Naše produkty sú v súlade s požiadavkami USP, EP a Čínskeho liekopisu. Kompletné certifikáty analýzy (COA) sú dodávané s každou šaržou.


4. Dodávate materiály na injekčné použitie?

áno. Špecializujeme sa na injekčné deriváty cyklodextrínu s prísnou kontrolou nečistôt, endotoxínov a konzistenciou medzi jednotlivými šaržami.


5. Aká je vaša výrobná kapacita?

Hydroxypropyl Betadex: 500 metrických ton ročne

Betadex Sulfobutyl Ether Sodium: 200 metrických ton ročne


6. Poskytujete vzorky na vyhodnotenie?

áno. Na požiadanie sú k dispozícii bezplatné vzorky na vývoj a testovanie formulácií.


7. Môžete podporiť dlhodobé komerčné dodávky?

áno. S rozsiahlymi výrobnými linkami a stabilnými systémami kvality podporujeme dlhodobé a komerčné dodávky pre globálnych farmaceutických zákazníkov.


8. Aké systémy kvality dodržiavate?

Pracujeme v súlade s normou ISO 9001:2015, s podporou pokročilého analytického vybavenia a špecializovaného laboratória kontroly kvality, aby sme zabezpečili konzistentnosť a súlad produktov.



Hot Tags: Sulfobutylether Beta Cyclodextrin Sodium Powder, Výrobcovia, Dodávatelia, Čína, Továreň, voľne ložené, Bezplatná vzorka, Vyrobené v Číne, Skladom, Veľkoobchod, Kúpiť

Súvisiaca kategória

Odoslať dopyt

Neváhajte a zadajte svoj dopyt vo formulári nižšie. Odpovieme vám do 24 hodín.
icon
X
Súbory cookie používame, aby sme vám poskytli lepší zážitok z prehliadania, analyzovali návštevnosť stránok a prispôsobili obsah. Používaním tejto stránky súhlasíte s naším používaním cookies. Zásady ochrany osobných údajov
Odmietnuť Prijať